경영회계융합계열

sCHOOL OF BUSINESS

커뮤니티

공지사항

  • 홈 클릭시 홈으로 이동
  • 커뮤니티
  • 공지사항
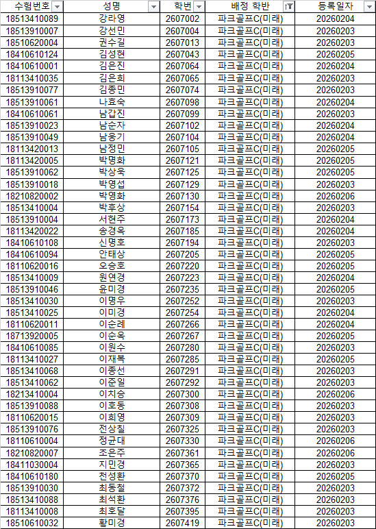
2026-1 파크골프 신입생 학번공지 안내
2026.02.25 17:47

2026-1 파크골프 신입생 학번공지 안내

조회 수 945 추천 수 0 댓글 0
?

단축키

Prev이전 문서

Next다음 문서

크게 작게 위로 아래로 댓글로 가기 인쇄 첨부
?

단축키

Prev이전 문서

Next다음 문서

크게 작게 위로 아래로 댓글로 가기 인쇄 첨부

1-파크골프 A

파크A.png

 

 

1-파크골프 B

파크B.png

 

 

1-파크골프 C

파크C.png

 

 

1-파크골프 D

파크D.png

 

 

1-파크골프 E

파크E.png

 

 

1-파크골프 F

파크F.png

 

 

1-파크골프 G

파크G.png

 

 

 

1-파크골프 (구미)

구미.png

 

 

1-파크골프 (군위)

군위.png

 

 

1-파크골프 (고령)

고령.png

 

 

1-파크골프 (상주)

 

상주.png

 

 

 

 

 


List of Articles
번호 제목 글쓴이 날짜 조회 수
공지 [중간고사] 26-1학기 교양과목 시험시간표 관리자4 2026.04.14 140
공지 글로벌 비즈니스 A, B 신입생 학번부여 관리자4 2026.03.07 106
공지 스포츠경영(피클볼) 신입생 학번 안내 file 관리자4 2026.02.25 344
» 2026-1 파크골프 신입생 학번공지 안내 file 관리자4 2026.02.25 945
공지 신입생 학번부여 회계금융창업반 시간표 file 관리자4 2026.02.25 2271
공지 [★기말고사★] 25-2학기 시험 시간표 file 관리자4 2025.12.03 3255
공지 [기말고사] 25-2학기 교양과목 시험 시간표 관리자4 2025.11.10 1685
공지 제11회 영진인문학백일장 개최 file 관리자4 2025.11.06 1395
공지 2025 영진 글로벌챌린지 프로그램 모집 안내 file 관리자4 2025.11.04 1426
공지 2025-2학기 학습 포트폴리오 공모전 실시 안내(접수 기간 연장) file 관리자4 2025.11.03 1405
공지 2025-2학기 수업 수기 공모전 실시 안내(접수 기간 연장) file 관리자4 2025.11.03 1442
공지 2025학년도 헤이영 캠퍼스 전자출결 시스템 file 관리자4 2025.02.28 3677
공지 ★수강신청 가이드★ file 관리자4 2023.08.22 4657
공지 경영계열 학과 소개 관리자4 2023.07.13 4889
공지 2024학년도 홍익대학교 조치원캠퍼스 연계교육과정편입 편입학 안내 file 관리자4 2022.12.09 9349
공지 2024학년도 영남대학교 연계교육과정편입 편입학 모집 안내 file 관리자4 2022.12.08 5049
공지 졸업인증제 자격증 현황(2023.03.21~) file 관리자4 2022.12.02 5485
166 현장실습 제출서류 file 관리자3 2018.04.10 2059
165 2020-하계(2019후기 졸업) 졸업자격인증제 시행 안내 file 관리자3 2019.07.01 2601
164 ※중요 필독※ 2020년 2월~3월 학사일정 안내 file 관리자4 2020.01.10 2799
163 ※중요※ 2021-2학기 산업체 위탁생 재직확인 공적증빙서류 제출안내. file 관리자4 2020.02.03 3446
162 휴학. 복학 안내 (2020-1학기~) 관리자4 2020.02.05 2407
161 ※수정 신입생 및 재학생 일정 공지 file 관리자4 2020.02.25 3389
160 ※(교수용)경영계열 비대면 수업안내 file 관리자4 2020.03.11 2009
159 ※(학생용)경영회계서비스계열, 경영학과 비대면 수업 안내 file 관리자4 2020.03.11 2980
158 ※경영회계서비스계열, 경영학과 신입생 학번 및 반편성 현황 file 관리자4 2020.03.11 2931
157 ※(교수용)온라인퀴즈 재응시할 수 있도록 푸는 방법 안내 file 관리자3 2020.03.13 1932
156 ※수강신청 방법 안내 file 관리자3 2020.03.13 2561
155 ※MS Office 365 사용안내 관리자3 2020.03.16 5898
154 모바일 학생증 발급 및 이용방법 안내 file 관리자3 2020.03.16 4201
153 ※2020-1학기 경영회계서비스계열, 경영학과 교재 현황표 관리자4 2020.03.16 2802
152 2020-1학기 국가장학금(국가장학, 국가근로)신청 안내. file 관리자4 2020.03.19 1940
151 특별재난지역 선포에 따른 예비군전입신고 안내 관리자4 2020.03.25 1908
150 도서관 전자콘텐츠 활용방법 안내 file 관리자3 2020.04.01 1766
149 [EVENT]행운을 잡아라 file 관리자3 2020.04.06 1992
148 2020-1학기 공식 휴.보강 안내(05.11수정공지) file 관리자4 2020.04.13 2118
147 2020-1학기 중간시험 미실시 안내 관리자4 2020.04.23 2137
Board Pagination Prev 1 2 3 4 5 6 7 8 ... 9 Next
/ 9